Skip to main navigation menu Skip to main content Skip to site footer

Special Issue: Health Research in Sub-Saharan Africa

Vol. 4 No. 1 (2026): January/December - 2026

Association between Waist Circumference, Diabetes Mellitus, Hypertension and Dyslipidemia in a Population in Northern Angola

DOI
https://doi.org/10.52600/2965-0968.bjcmr.2026.4.1.bjcmr46
Submitted
August 7, 2025
Published
2025-11-08

Abstract

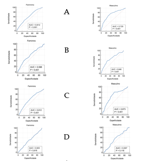
Obesity, particularly when it is centrally located, is an important risk factor for the development of cardiovascular diseases. This study aimed to assess the relationship between waist circumference and the presence of diabetes mellitus, hypertension, and dyslipidaemia. A community- based cross-sectional study was conducted as a sub-analysis of CardioBengo in the municipality of Dande, Bengo Province, involving 2,244 individuals aged 18– 84 years. The study included a structured questionnaire and the collection of sociodemographic, anthropometric, hemodynamic and biochemical data. Analyzes were carried out using correlation methods, the construction of ROC (Receiver Operating Characteristic) curves, and the determination of optimal cut- off points according to the Youden index. Waist circumference was positively associated with metabolic risk factors, particularly hypertension, in both sexes. It demonstrated moderate sensitivity and specificity (area under the curve (AUC): 0.725 in men and 0.612 in women). Waist circumference also proved to be a moderate predictor of diabetes mellitus (AUC: 0.648 in men and 0.596 in women) and hypercholesterolaemia (AUC: 0.673 in men and 0.612 in women), with cut-off points varying between 71.5 cm and 89 cm depending on gender. For hypertriglyceridaemia, however, the association was weak (AUC: 0.557 and 0.503). Waist circumference can be used as an indicator of the risk of developing metabolic factors, highlighting its usefulness in predicting hypertension in the Angolan population.

 

References

  1. Haffner S, Taegtmeyer H. Epidemic obesity and the metabolic syndrome. Circulation. 2003;108:1541-5.
  2. Kopelman PG. Obesity as a medical problem. Nature. 2000;404:635-43.
  3. Campana EM, Brandão AA. Waist circumference: an unfavorable parameter for vascular health. Braz Soc Cardiol. 2022;119(2):265-6.
  4. Crowley VEF. Overview of human obesity and central mechanisms regulating energy homeostasis. Ann Clin Biochem. 2008;45:245-55.
  5. Gonçalves CP. Avaliação da circunferência da cintura como variável preditora de risco coronariano em estudo de base po-pulacional. Vitória (ES): UFES; 2008.
  6. Mesquita C, Ker CE. Cardiovascular risk factors in cardiologists certified by the Brazilian Society of Cardiology: lessons to be learned. Braz Soc Cardiol. 2021;782. doi: 10.36660/abc.20210153.
  7. NCD Risk Factor Collaboration (NCD-RisC). General and abdominal adiposity and hypertension in eight world regions: a pooled analysis of 837 population-based studies with 7.5 million participants. Lancet. 2024;404(10455):851-63. doi: 10.1016/S0140-6736(24)01405-3.
  8. Magalhães P, Capingana DP, Mill JG. Prevalence of the metabolic syndrome and determination of optimal cut-off values of waist circumference in university employees from Angola. Cardiovasc J Afr. 2014;25(1):27-33. doi: 10.5830/CVJA-2013-086.
  9. Gonçalves MA, Magalhães P, Silva A, Capingana D. Razão cintura/quadril como preditor de hipertensão arterial: os parâ-metros normais para Angola. Rev Cient Clin Sagrada Esperança. 2018;10(8):20-30. doi: 10.70360/rccse.v.62.
  10. Pedro JM, Rosário E, Brito M, Barros H. CardioBengo study protocol: a population-based longitudinal cardiovascular study in Bengo Province, Angola. BMC Public Health. 2016;16:206.
  11. Pedro JM, Brito M, Barros H. Prevalence, awareness, treatment and control of hypertension, diabetes and hypercholesterol-aemia among adults in Dande municipality, Angola. Cardiovasc J Afr. 2018;29(2):73-81. doi: 10.5830/CVJA-2017-047.
  12. Pedro J, Brito M, Barros H. Gender and socio-demographic distribution of body mass index: the nutrition transition in an adult Angolan community. J Public Health Afr. 2018;9(2):5. doi: 10.4081/jphia.2018.865.
  13. World Health Organization. Waist circumference and waist-hip ratio: report of a WHO expert consultation, Geneva, 8–11 December 2008. Geneva: WHO; 2011. Available from: https://iris.who.int/handle/10665/44583.
  14. Williams B, Mancia G, et al; ESC Scientific Document Group. 2018 ESC/ESH Guidelines for the management of arterial hy-pertension. Eur Heart J. 2018;39(33):3021-104. doi: 10.1093/eurheartj/ehy339.
  15. World Health Organization. The STEPS instrument and support materials. Geneva: WHO; 2015.
  16. Ford ES, Mokdad AH, Giles WH. Trends in waist circumference among US adults. Obes Res. 2003;11(10):1223-31.
  17. Lahti-Koski M, Harald K, Mannisto S, et al. Fifteen-year changes in body mass index and waist circumference in Finnish adults. Eur J Cardiovasc Prev Rehabil. 2007;14(3):398-404.
  18. Peixoto MRG, et al. Waist circumference and body mass index as predictors of hypertension. Arq Bras Cardiol. 2006;87(4):462-8.
  19. Ferreira MG, et al. Accuracy of waist circumference and waist-to-hip ratio as predictors of dyslipidemia in a cross-sectional study of blood donors from Cuiabá, Mato Grosso, Brazil. Cad Saude Publica. 2006;22(2):307-14.
  20. Okosun IS, Liao Y, Rotimi CN, et al. Predictive values of waist circumference for dyslipidemia, type 2 diabetes and hyper-tension in overweight White, Black and Hispanic American adults. J Clin Epidemiol. 2000;53(4):401-8.
  21. Okosun IS, Rotimi CN, Forrester TE, et al. Predictive value of abdominal obesity cut-off points for hypertension in Blacks from island countries in West Africa and the Caribbean. Int J Obes Relat Metab Disord. 2000;24(2):180-6.
  22. Rosini N, Machado MJ, Xavier HT. Study of prevalence and multiplicity of cardiovascular risk factors in hypertensive patients in Brusque, SC. Arq Bras Cardiol. 2006;86(3):.
  23. Barbosa PJ, et al. Central obesity criteria in the Brazilian population: impact on metabolic syndrome. Arq Bras Cardiol. 2006;87:407-14.
  24. International Diabetes Federation. The IDF consensus worldwide definition of the metabolic syndrome. Brussels: IDF; 2006.
  25. Zimmet P, Alberti KG, Shaw J. Metabolic syndrome: a new worldwide definition. A Consensus Statement from the Interna-tional Diabetes Federation. Diabet Med. 2006;23(5):469-80.

Most read articles by the same author(s)

1 2 3 > >>